0_上采样
1.上采样
将一些低分辨率的图片转换为高分辨率的图片
2.传统方法
最近邻法(Nearest Interpolation):计算速度最快,但是效果最差。
双线性插值(Bilinear Interpolation):双线性插值是用原图像中4(22)个点计算新图像中1个点,效果略逊于双三次插值,速度比双三次插值快,属于一种平衡美,在很多框架中属于默认算法。
双三次插值(Bicubic interpolation):双三次插值是用原图像中16(44)个点计算新图像中1个点,效果比较好,但是计算代价过大。
2.1 最近邻插值
不会计算目标图像点的数值,仅将原图像的值映射到目标图像。
映射方法:(dest_x, dest_y) -> (src_x, src_y)
src_x = dest_x * src_w / dest_w
src_y = dest_y * src_h / dest_h
2.2 双线性插值
根据4个点生成目标图像点的值
在介绍双线性插值前,用到了单线性插值
### 2.2.1 单线性插值
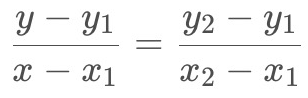
在已知(x1, y1)和(x2, y2)和插入点x, 求插入点y
(https://zhuanlan.zhihu.com/p/110754637)
初中的知识,2点求一条直线公式

整理成下面的格式:

上式理解,等号右边为分子为插入点和点1和点2的x距离,分母相等,当插入点离点1的x更近,插入点的y值和点1的y值更近。
### 2.2.2 双线性插值
https://zhuanlan.zhihu.com/p/110754637